16 年
手机商铺
技术资料/正文
457 人阅读发布时间:2025-08-27 16:36
杂志名称:Advanced Science
影响因子:14.1
文章题目:Extracellular Mitochondrial-Derived Vesicles Affect the Progression of Diabetic Foot Ulcer by Regulating Oxidative Stress and Mitochondrial Dysfunction
细胞外线粒体来源的囊泡通过调节氧化应激和线粒体功能障碍影响糖尿病足溃疡的进展
第一作者:南方医科大学南方医院张慧慧博士
通讯作者:南方医科大学南方医院杨磊教授、南方医科大学基础医学院黄文华教授、暨南大学基础医学与公共卫生学院利时雨副教授
实验所用产品:RayBio 定制多因子芯片(分别为外泌体/微囊泡(EXO/MVs)、微囊泡样颗粒(MDVs)、血小板衍生外泌体(PEVs)和凋亡小体(ABs)的生物标志物)
实验样本:检测人类外泌体样本

文章摘要
糖尿病足溃疡(DFU)是糖尿病的严重并发症,其病因复杂,涉及多种分子机制。细胞外囊泡(EVs)在细胞间通讯中发挥关键作用,但线粒体来源的囊泡(MDVs)在DFU中的作用尚未明确。本研究首次发现DFU患者皮肤组织中MDVs显著增加,并揭示了MDVs通过调节氧化应激和线粒体功能障碍影响DFU进展的机制。
研究结果
1、联合流式细胞术、抗体芯片、质谱分析发现MDVs在DFU组织中显著增加
通过纳米流式细胞术和RayBio定制的9种外泌体/微囊泡(EXO/MVs)、微囊泡样颗粒(MDVs)、血小板衍生外泌体(PEVs)和凋亡小体(ABs)的相关的生物标志物的表达情况检测,发现DFU患者皮肤组织中TOM20+ MDVs显著高于健康对照组和糖尿病患者(Figure 1)。
蛋白质组学分析显示,DFU组MDVs中与氧化应激和线粒体功能相关的蛋白(如SDHB、FUNDC2)表达上调,而与代谢相关的蛋白(如ACAT1、MDH1)表达下调(Figure 3)。


(Figure 1)

(Figure 3)
2、SNX9调控MDVs的分泌
单细胞测序分析发现,SNX9在DFU患者的成纤维细胞中高表达,且与MDVs的分泌密切相关(Figure 2)。
体外实验证实,高糖(HG)环境下,SNX9的过表达促进MDVs分泌,而SNX9抑制剂(DATPT)或敲低SNX9可显著减少MDVs的产生(Figure S2)。

(Figure2)

(Figure S2)
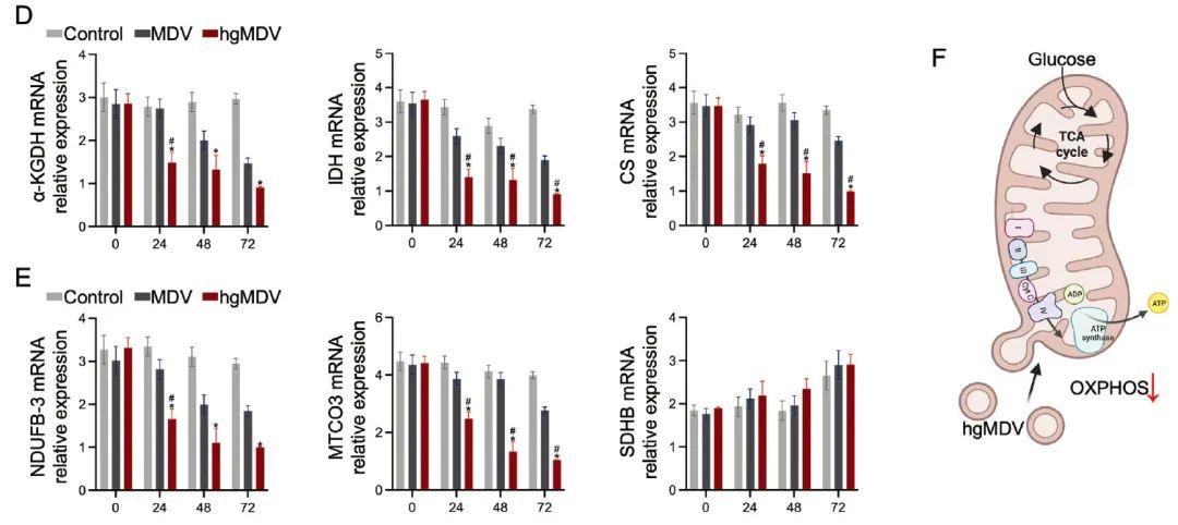
3、MDVs促进氧化应激和线粒体功能障碍
体外实验表明,高糖诱导的MDVs(hgMDVs)可被成纤维细胞内化,导致细胞凋亡增加、ROS水平升高、线粒体膜电位(Δψm)下降及线粒体结构损伤(Figure 4)。
hgMDVs还抑制有氧代谢,促进糖酵解,进一步加剧线粒体功能紊乱(Figure 5)。

(Figure 4)

(Figure 5)
4、SNX9抑制剂改善DFU伤口愈合
在糖尿病小鼠模型中,hgMDVs显著延缓伤口愈合,而SNX9抑制剂治疗可恢复线粒体动态平衡,促进胶原沉积和血管生成,加速伤口修复(Figure 6)。

(Figure 6)
研究结论
本研究通过RayBio定制外泌体/微囊泡(EXO/MVs)、微囊泡样颗粒(MDVs)、血小板衍生外泌体(PEVs)和凋亡小体(ABs)的多因子检测芯片,结合流式实验,首先证实了糖尿病足溃疡(DFU)组织中验证了MDVs显著增加,接着结合单细胞测序及能量代谢线粒体功能评估首次证实MDVs通过SNX9依赖性途径调控氧化应激和线粒体功能,从而影响DFU的进展。小鼠体内实验进一步说明靶向MDVs或SNX9可能成为DFU的新型治疗策略,为临床干预提供理论依据。