16 年
手机商铺
技术资料/正文
322 人阅读发布时间:2025-05-09 16:58
流式技术&蛋白多因子检测
利用双抗夹心免疫分析原理,检测时将靶蛋白固定在微球上的捕获抗体和荧光偶联的检测抗体之间。 RayPlex®多重微球通过使用微球大小和荧光强度的不同组合,可以同时定量分析多靶蛋白。
RayPlex® 与大多数配备蓝色和红色激光的标准流式细胞仪兼容(检测PE及APC荧光通道)。

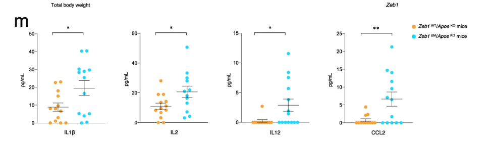
流式多因子高分文献案例1

杂志名称:Nature Communications
影响因子:16.6
文章题目:Atherosclerotic plaque development in mice is enhanced by myeloid ZEB1 downregulation
作者单位:巴塞罗那医院
本实验所用产品:FAM-INF-1(检测小鼠样本中13个炎症相关蛋白质的表达)
检测样本:血清
心血管疾病研究中,在巨噬细胞中细胞可塑性因子ZEB1水平对动脉粥样硬化斑块形成的影响中,利用FAM-INF-1液相芯片检测Zebl∆M小鼠与野生型小鼠中炎症因子表达的差异。

流式多因子高分文献案例2

杂志名称:Theranostics
影响因子:12.4/Q1
文章题目:SEMA6B induces macrophage-mediated inflammation and hepatocyte apoptosis in hepatitis B virus-related acute-on-chronic liver failure
作者单位:浙江大学医学院第一附属医院
本实验所用产品:
QAM-INF-1(检测小鼠样本中40个炎症相关细胞因子)
FAM-INF-1(检测小鼠样本中13个炎症相关蛋白质的表达)
FAH-INF-1(检测人类样本中13个炎症相关蛋白质的表达)
检测样本:细胞上清
信号蛋白6b (SEMA6B)在具有较高的短期死亡率的乙型肝炎病毒相关的急性慢性肝衰竭(HBV-ACLF)疾病中的发病机制的分子机理研究中,发现SEMA6B与炎症机制存在显著相关性,后续实验设计了细胞基因敲除实验、小鼠SEMA6B敲除模型,利用RayBio对应的炎症芯片检测了实验模型中的炎症因子表达情况。



杂志名称:CMGH
影响因子:8.797
文章题目:
DNMT3B Alleviates Liver Steatosis Induced by Chronic Low-grade LPS via Inhibiting CIDEA Expression
作者单位:安徽蚌埠医学院
本实验所用产品:FAH-INF-1
检测样本:组织裂解液
脂多糖(LPS)渗漏引起的肠道生态失调与非酒精性脂肪肝疾病的关系及潜在机制研究中,利用液相多因子检测技术进行DNMT3B过表达引起LPS积累是炎症标志物筛选。



更多panal选择,灵活搭配
预包被磁力微珠,可用磁力架分离,简化洗脱步骤,防止微珠丢失!
RayPlex® Pro(货号:FAHM-CYT-175)RayBio流式多因子,175个人类样本中微量蛋白浓度检测;
更高通量、更省样本、更快速、更轻松
检测样本:人血清、血浆、组织、细胞裂解物等
技术原理:双抗夹心法
载体:流式荧光磁珠
是否定量:定量(pg/mL)
检测仪器:具有APC&PE通道的流式细胞仪
检测靶标:


其他产品靶标




